近日,物理学期刊《Science China Physics, Mechanics & Astronomy》发表了华中科技大学物理学院于涛教授 “量子磁性与自旋物理” 课题组题为 “Evanescent Orbital Pumping by Magnetization Dynamics Free of Spin-Orbit Coupling” 的研究论文。于涛教授为论文的通讯作者,课题组博士生蔡成渊为第一作者,苏黎世联邦理工学院的王涵晨博士为共同作者。华中科技大学为论文的第一单位。
在自旋电子学中,自旋泵浦效应是一种激发自旋流的重要机制,在操控磁化,磁学应用器件设计上具有重要作用。近期的工作指出固体中的轨道自由度在角动量输运中也具有堪比自旋自由度的重要地位,因此研究轨道泵浦机制具有重要意义。由于磁矩与轨道自由度不直接耦合,传统的铁磁-金属近邻轨道泵浦机制需依赖自旋轨道耦合实现自旋流与轨道流的转化,自旋轨道耦合的大小直接影响了轨道泵浦的效率。因此需要一种不依赖于自旋轨道耦合而直接与轨道自由度作用的轨道泵浦机制。
通过电磁场相互作用,固体中的轨道磁矩能够直接的与磁矩进动产生的近场电磁场耦合,而不依赖于体系的自旋轨道耦合。在本文中,我们提出一种倏逝轨道泵浦机制,利用磁性纳米结构中的磁化动力学产生的近场电磁场,与半导体衬底中的电子轨道磁矩耦合,实现不依赖于自旋轨道耦合的轨道泵浦。
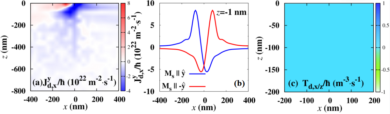
我们具体以金刚石结构的典型半导体为模型,以Gamma点附近展开的p轨道的Luttinger微扰哈密顿量构建理论框架,预言了两种泵浦出的轨道流。第一种是沿场的梯度方向传播的纵向轨道流,其轨道极化方向依赖于光场角动量方向。但由于晶体场破坏三维旋转对称导致轨道角动量不守恒,存在内禀的轨道矩。

图1.(a)磁纳米线产生的杂散场泵浦出半导体中轨道流的示意图。(b)z=-1nm处半导体表面的y方向轨道极化的纵向轨道流的x,z分量。(c)半导体中y方向极化的轨道矩分布。
此外,我们还预言了另一种垂直于场梯度方向的横向轨道霍尔流,它由电场磁场的共同作用导致,且不受轨道矩的影响。另外,由于近场电磁场的手性,被泵浦出的轨道流的空间分布具有非互异性,这种非互异性在磁矩反向时发生反转。

图2.(a)泵浦出的x方向轨道极化的轨道Hall流的空间分布。(b)当Ms分别沿y与-y时的半导体表面处的x方向轨道极化的轨道Hall流。(c)半导体中x,z方向极化的轨道矩为0。
通过磁光成像、NV 色心探测或轨道诱导磁电阻等技术,有望实验验证该机制下的轨道流。我们希望我们的预测在不久的将来可以通过实验来验证。该工作为基于硅、锗等传统半导体的低耗散轨道电子器件设计提供了理论指导。
论文链接:http://engine.scichina.com/doi/10.1007/s11433-025-2833-1