Tao Yu Group (于涛教授课题组)
  • HOME
  • NEWS
    • News & Blog
    • COLLOQUIA & SEMINARS
  • TEAM
    • Professor
    • Associated Professors
    • Postdoctors
    • PhD Students
    • Master Students
    • Research assistants
    • Alumni
  • PUBLICATIONS
  • TEACHING
  • RESEARCH
  • WORKSHOP
  • GROUP ALBUM
  • HOME
  • NEWS
    • News & Blog COLLOQUIA & SEMINARS
  • TEAM
    • Professor Associated Professors Postdoctors PhD Students Master Students Research assistants Alumni
  • PUBLICATIONS
  • TEACHING
  • RESEARCH
  • WORKSHOP
  • GROUP ALBUM
News & Blog
LOCATION:
HOME NEWS News & Blog

课题组黄倩南通过光子Fano共振观测到长寿命磁子对

Last updated:2026-04-06    |  【  large    middle    small  】  |  【 print 】 【 close 】

近日,APL Quantum在线刊发了于涛教授课题组题为“Observation of long-lifetime magnon pairs by Fano resonance of photons”的研究论文。课题组黄倩南为论文的第一作者,课题组薛治平为论文的共同作者,于涛教授为论文的通讯作者,华中科技大学物理学院为论文的第一单位。该论文被选为编辑推荐。

在磁振子学领域,具有长寿命的模式涨落对于磁振子器件中的量子信息和逻辑操作至关重要。然而,在实验上用微波技术高灵敏地探测泵浦诱导的动量非零的模式极具挑战性,因为这些模式通常不与探测微波发生较强耦合。于涛教授课题组巧妙地利用微波波谱技术,对强微波驱动下钇铁石榴石(YIG)磁性小球的宽带非线性磁化动力学进行了探测,如图1所示。研究团队发现,当磁化驱动振幅较大且驱动频率接近但不等于铁磁共振(FMR)频率时,微波透射谱中会出现一种出乎意料的Fano共振现象。

 

图片1.png 

图1 Fano共振探测长寿命磁振子对的示意图

 

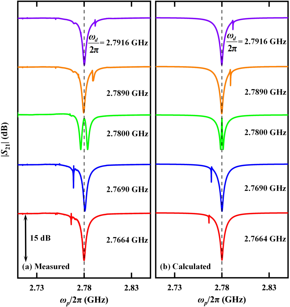
为解释这一现象,研究团队构建了考虑Kittel磁振子与频率为为其一半、具有相反波矢的磁振子对之间三磁振子相互作用的光子散射理论。理论模型表明,微波波谱实际测量的是Kittel磁振子涨落与磁振子对涨落在驱动稳态上的动力学,它们通过稳态振幅实现相干耦合。理论计算与实验观测到的Fano共振高度吻合,如图2所示,揭示了这种Fano共振只有在磁振子对涨落的阻尼系数远小于Kittel磁振子涨落的阻尼系数时才会发生。

图片2.png 

图2 不同泵浦频率下的微波透射谱的实验测量和理论计算的对比图。(a)在铁磁共振频率附近进行了典型驱动频率的实验测量。(b)与(a)项相同驱动频率的微波传输的理论计算,理论计算可以重现观测到的Fano共振和模式分裂的特征。

 

这项研究不仅为非线性磁化动力学中能够产生长寿命磁振子对提供了有力证据,还为利用传统微波波谱方法探测其他磁振子对铁磁共振和自旋波共振的反作用奠定了理论与实验基础。低耗散的长寿命磁振子对在微波工程以及未来的量子与经典信息处理中展现出了极高的应用潜力。


论文链接

Previous:

课题组类延盟合作预言超导/反铁磁/超导异质结中超强磁子-光子耦合

Next:

课题组李萍提出新型横向与单向自旋泵浦机制

Magnetism and Spintronics Group
taoyuphy@hust.edu.cn Researchgate Google scholar
(+86) 18062429682
School of Physics at HUST, Wuhan, 430074
逸夫科技楼南418室 鄂ICP备2024059813号-1